Nếu có một mục tiêu cho năm mới luôn quay lại mỗi năm, thì đó chính là: sống khỏe mạnh hơn.
Nhưng điều gì sẽ xảy ra nếu bạn không chỉ sống khỏe hơn, mà còn thực sự lão hóa chậm hơn?
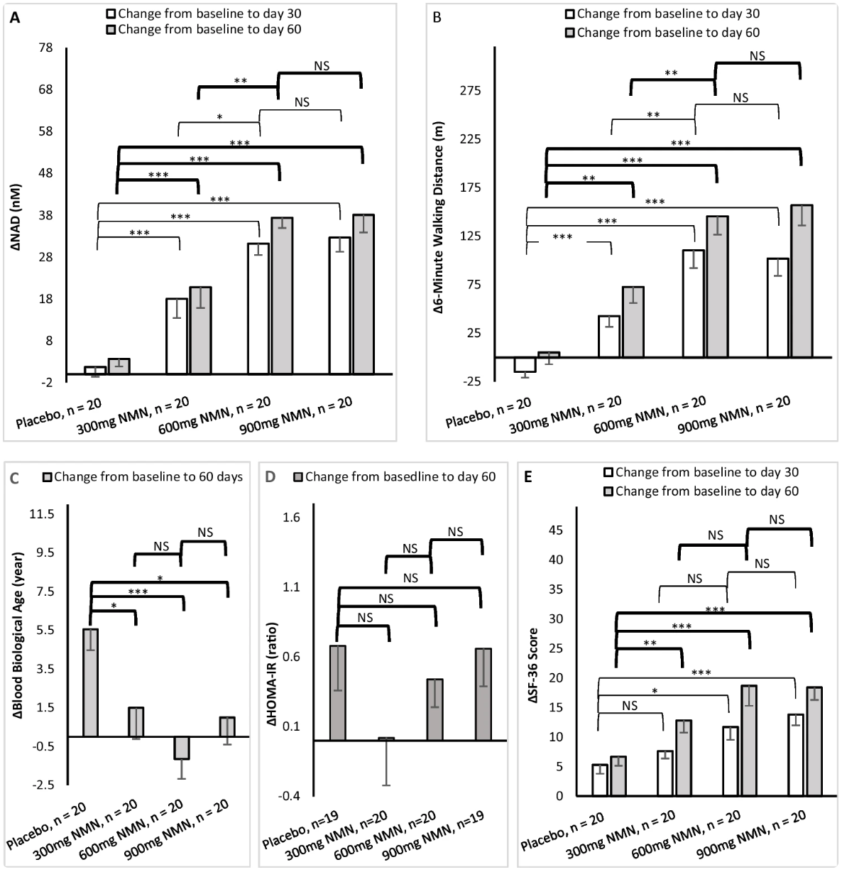
Trong một chương trình phát sóng của Jinek, một nghiên cứu mang tính đột phá đã được thảo luận: thực phẩm bổ sung NMN (Nicotinamide Mononucleotide) giúp kéo dài tuổi thọ chuột lên tới 60%.
Quan trọng hơn: hiện nay nó cũng đang cho thấy kết quả đầy hứa hẹn ở con người.
1. NMN hiệu quả gấp 5 lần so với các thực phẩm bổ sung chống lão hóa truyền thống
Khi chúng ta già đi, cơ thể giảm sản sinh NAD⁺ – một phân tử giữ cho tế bào của bạn “sống”.
Bạn sẽ cảm nhận được điều đó: mệt mỏi, hồi phục chậm hơn, đầu óc kém minh mẫn hơn.
NMN bổ sung lại viên gạch nền tảng này.
Nó khởi động lại mức năng lượng của bạn từ bên trong ra ngoài.
“Đây là loại thực phẩm bổ sung duy nhất mà tôi thực sự cảm thấy mức năng lượng của mình thay đổi rõ rệt.”
– Anja (53 tuổi)

2. Di chuyển linh hoạt như trước — chỉ sau 60 ngày
Trong một nghiên cứu lâm sàng, những người đàn ông khỏe mạnh khoảng 50 tuổi dùng NMN trong 60 ngày.
Kết quả? Họ đi bộ nhanh hơn, cảm thấy khỏe hơn, và đánh giá chất lượng cuộc sống cao hơn.
“Tôi có thể đi bộ lâu hơn, có nhiều năng lượng hơn và đầu óc cũng minh mẫn hơn.”
– GS.TS Andrea Maier (nhà nghiên cứu)

3. Giảm tuổi sinh học — thực sự cảm thấy trẻ hơn — chỉ sau 60 ngày
Điều gì sẽ xảy ra nếu cơ thể bạn cho thấy bạn 44 tuổi, trong khi hộ chiếu ghi 51?
Tuổi sinh học phản ánh cách cơ thể bạn hoạt động “trẻ” đến mức nào.
NMN hỗ trợ sức khỏe tế bào, sửa chữa DNA và chức năng ti thể, giúp cơ thể bạn vận hành trẻ trung hơn so với tuổi thật trên giấy tờ.
“Tuổi sinh học của tôi giảm 3 tuổi chỉ sau vài tháng.”
– Người dẫn chương trình Jinek, phát biểu trực tiếp trên sóng

4. NMN cũng hỗ trợ giảm stress, tăng năng lượng và phục hồi
NAD⁺ không chỉ giúp chống lão hóa mà còn cải thiện sự minh mẫn tinh thần, miễn dịch, chất lượng giấc ngủ và mức năng lượng.
Đó là lý do ngày càng nhiều người sử dụng NMN như một nền tảng hàng ngày cho sức sống.
“Tôi cảm thấy đầu óc sắc bén hơn, ngủ sâu hơn, và hồi phục nhanh hơn sau khi vận động. NMN đã trở thành nền tảng của tôi.”
– Henny, 71 tuổi, vận động viên chạy marathon

5. Được khoa học chứng minh và không có tác dụng phụ
Sản phẩm NMN trong nghiên cứu đã được khoa học chứng minh hiệu quả và được thử nghiệm trong các nghiên cứu có đối chứng giả dược.
Và điều tuyệt vời nhất? Không cần tiêm – chỉ cần uống, và an toàn khi sử dụng hàng ngày.
✅ An toàn sử dụng hàng ngày
✅ Đã được thử nghiệm lâm sàng về hiệu quả
✅ Được kiểm nghiệm bởi bên thứ 3 độc lập


